Minijet thermalization and jet transport coefficients in QCD kinetic theory
Oct 30, 2025·,,,,·
0 min read
Kirill Boguslavski
Florian Lindenbauer
Aleksas Mazeliauskas
Adam Takacs
Fabian Zhou

Abstract
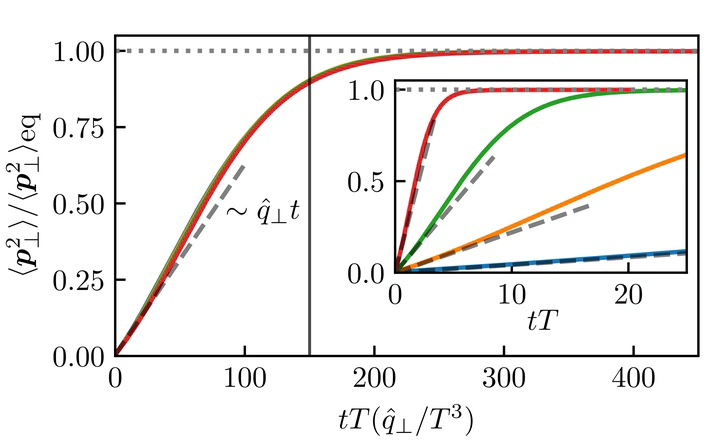
We apply weakly coupled QCD kinetic theory to investigate the thermalization of high-momentum on-shell partons (minijets) in a Quark-Gluon Plasma (QGP). Our approach incorporates isotropic hard thermal loop screening to model soft quark and gluon exchanges, allowing us to verify consistency with established analytic results of jet transport coefficients. We perform kinetic simulations of minijets propagating through a thermal gluon plasma, incorporating both collinear radiation and elastic scatterings. The resulting evolution is compared to predictions from jet transport coefficients, including the longitudinal and transverse jet-quenching parameters q̂, energy loss, and the drag coefficient. We find that standard definitions of jet transport coefficients neglect the contributions from recoiling medium particles. Including these contributions restores consistency with the kinetic evolution. Finally, we show that the minijet thermalization time scales remarkably well with q̂ and we produce a phenomenological estimate of the minijet quenching time in heavy-ion collisions.
Publication
arXiv:2510.25669 [hep-ph]