Deriving a parton shower for jet thermalization in QCD plasmas

Abstract
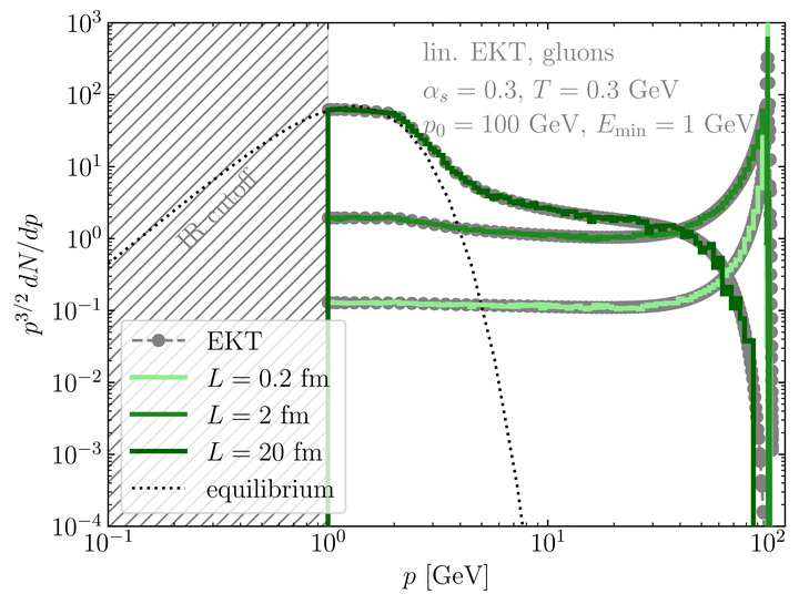
Jet quenching - the modification of high-energy jets in the quark–gluon plasma - has been extensively studied through weakly coupled scattering amplitudes embedded in parton-shower frameworks. These models, often combined with bulk hydrodynamic evolution, successfully describe a wide range of observables, though they typically rely on assumptions of rapid thermalization and simplified treatments of medium response. Parallel to these developments, jet thermalization has been investigated within the finite-temperature QCD effective kinetic theory, which provides our best microscopic understanding of equilibration in heavy-ion collisions. Early studies of linearized perturbations have highlighted both the promise and the limitations of current approaches, as existing MC implementations face challenges - particularly in the treatment of recoils and particle merging. Building on this foundation, we introduce a new parton-shower algorithm that exactly reproduces the dynamics of the linearized EKT, enabling a first-principles description of jet thermalization with proper inclusion of recoils, holes, quantum statistics, and merging processes.
Publication
arXiv:2510.25837